Did you ever try dividing your pizza (which is a circle) into more than eight slices, and then divide it into more slices to approximate its area?
Well, calculating the area isn’t a difficult task and so is its circumference. One needs to be well acquainted with all the required formulas to excel these calculations.
If you have been facing difficulties in calculating the area or circumference of the circles, then this article will surely help you out.
#1. How To Find The Circumference Of A Circle?
The circumference of a circular object is the linear distance till its boundaries. The circumference of a circle is of utmost importance in geometry and trigonometry. Circumference can also be referred as the edges instead of the length of the edges.
Circumference is a special case of perimeters because generally the perimeter is the area around the closed edges whereas circumference typically refers to a constantly differentiable curve.
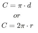
The usual definition of pi is the ratio of the circumference of a circle to its diameter; therefore the circumference of a circle is pi times the diameter, or 2 pi times the radius.

#2. Calculating The Circumference Of A Circle
The distance around a rectangle or a square is called the perimeter while the distance around a circle is called the circumference.
A line which is drawn straight through the midpoint of a circle and has its end points on the circle’s boundary is called the diameter (d). Half of the diameter, or the distance from the midpoint to the circle’s boundary, is called the radius (r).
The circumference of a circle is calculated using this formula:

#3. How To Find Area Of A Circle?
The area of a circle is the number of square units which constitute that circle. If each square in the circle towards the left has an area of 1 cm2, you can count the total number of squares to calculate the area of the circle. The formula to calculate the same would be:

Where A is the area, and r is the radius.
If you know the circumference of a circle, you can use the formula to calculate the area of a circle. Finding the area of a circle is an easy calculation if you are aware of the length of the circle’s radius. If you don’t know the radius, you can still calculate the area with the length of the circle’s circumference, or perimeter.
Use the two-step process-
- first, find the radius using the formula for the circumference:

- And then use the formula for area to calculate the area of the circle, which is:
You can also opt for :

which articulates the circumference of a circle as a function of its area, without a given length of the radius.
#4. Circumference To Area Formula?
The area of a circle is calculated by the formula A = π r2, where A is the area and r is the radius. The circumference of a circle is C = 2 π r.
If we ‘solve for r’ in the second equation, then we have r = C / (2 π).
Now use this to replace r in the first equation: A = π [C / (2 π) ]2.
The simplified version that you get this, A = C2 / (4 π).
Now put your value of C into this equation and find A. Remember, the value of π is about 3.1416.

Was the article helpful? Let us know in the comment section below.
(Featured Image Courtesy: Wikihow0
This article has been of great help in understanding the concepts of area and circumference of the circles. Thank you for helping me with my math calculations.