Drawing a line on a graph is easy; you mark the x and y coordinates for two points, graph a line crossing the two and you got yourself the line for an equation. However, the problem arises when you need to find the slope of that line. The concept is not that difficult to understand and neither the formula too hard to remember, but still many people find it troublesome.
Do you know what exactly the slope of an equation means and what is the formula to find it? Well, no worries if you don’t cause we are here to explain it to you. All we need from you is your focus.
What Is Slope?
How you define a slope in the world of math is exactly how you define in the regular one. A slope is used to describe the steepness and the direction in which the line is headed. Just by looking at a graph several things like if the line is steep or not, and which line from a lot is the least or the most steeper; however, the concept allows us to find a number which can rightly represent or define the gradient.
What Is The Formula For Finding Slope?
The slope of a line is calculated by dividing the change in the value of y coordinates, which represents its rise, by the change in the value of x coordinates, which represents its run.

(Image Courtesy: Math)
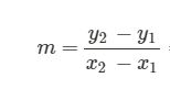
The simple formula that is used to find the slope of a line is

(Image Courtesy: Math Planet)
where 'm’ represents the slope, and x1, y1, x2 and y2 are the coordinates of the two points.
Using this formula, you can find the slope of any equations when you have the coordinates of any two points on it. Just put the four values in the formula, and you will have it.
To understand the concept better, let us now take an example.
Suppose, we have the following line:

(Image Courtesy: Math Warehouse)
As it can be easily figured out from the graph, the coordinates x1 and y1 are 4 and 3, whereas the coordinates x2 and y2 are 1 and 2.

(Image Courtesy: Math Warehouse)
Now, putting these values in the formula for slope, we get 1/3.
As you can notice, the slope is in positive, which means that the line is trailing upwards from left to right. In the same way, when the slope is negative, it means that the line is trending downwards in the same direction.
You can also note that which coordinates you take as x1 and y1 and which ones as x2 and y2 make no difference at all as to the answer you are going to get, and it will be exactly same in both the cases. As you may have guessed already, the slope of a vertical line is undefined. Since the change in the value of x coordinates or run of a line is zero when it is vertical, zero in the denominator leaves the fraction to be undefined. In addition to that, since the change in the value of y coordinates of a rise of the line is non-existent in the case of a horizontal line, its slope is always zero. The rise of the line is non-existent in the case of a horizontal line, its slope is always zero.
Also, learn about the mean or median here.
Did the article help you in understanding the concept of the slope? Did it have all the information you were seeking? Tell us through your comments below.
(Featured Image Courtesy: Statistics How To)